返回首頁| 手機網站 | 收藏本站| 網站地圖 會員登錄| 會員注冊
歡迎光臨深圳市火運電子有限公司!
全國服務熱線0755-29952551
PRODUCT CENTER
NDK晶振,石英晶體諧振器,NX5032SD晶振
NDK晶振,石英晶振,NX3225SA晶振
NDK晶振,石英晶振,NX2520SG晶振
NDK晶振,石英晶振,NX1612SA晶振
NDK晶振,貼片晶振,NX3225GA晶振
NDK晶振,貼片晶振,NV2520SA晶振
NDK晶振,貼片晶振,NX5032GA晶振
京瓷晶振,貼片晶振,CX5032SA晶振
京瓷晶振,貼片晶振,CX3225CA晶振
京瓷晶振,貼片晶振,KC2520B晶振
京瓷晶振,石英晶振,CX2520DB晶振
京瓷晶振,石英晶振,CX3225GA晶振
ECS高品質晶振ECX-2236,ECS-192-10-36-JGN-TR無線應用晶振
ECS伊西斯CSM-12無源晶振,ECS-200-20-18-TR石英貼片晶振
ECS伊西斯ECX-32晶振,ECS-162.57-20-33-CKM-TR羅拉模塊晶振
Abracon插件晶振AB308,AB308-26.540MHZ微處理器石英晶體
Abracon艾博康晶振ABM8W,ABM8W-20.0000MHZ-4-B1U-T3無源晶振
BRAND SHOW


Strength Shows
中國晶振行業知名品牌
在國內市場上使用日產晶振的遠比臺灣晶振要多,如KDS晶振,NDK晶振,京瓷晶振等在大陸市場上都是比較暢銷的,但同時使用臺產晶振的也不少,TXC晶振,鴻星晶振,泰藝晶振等知名品牌都是大多工廠企業指定石英晶振,貼片晶振,有源石英晶體振蕩器,石英晶體諧振器,溫補晶振供應商.每月供貨量多達上億顆.火運電子憑借自身的智慧與才智,早在多年前獲得多家臺灣進口晶振代理資質, 一手貨源,價格優勢,交付期快.
NDK晶振,鴻星晶振,加高晶振,希華晶振,亞陶晶振等,均采用先進的設備,引進韓國劃片,成膜,研磨,檢測等高精密的自動設備,現代化的管理手段,所生產石英晶振均選用符合歐盟ROHS環保要求材料,具有高品質,高精密,低插損等特點.廣泛用于汽車產業,消費性電子,通信產業,安防業,智能家居,工業機械,航空領域等.火運電子不僅只生產晶振,還生產并銷售霧化片.需了解更多產品詳情歡迎咨詢0755-29952551.


火運電子代理日本多家進口晶振品牌,KDS晶振,精工愛普生晶振,NDK晶振,京瓷晶振等知名品牌.日本是電子元件生產大國,無論是KDS晶振還是京瓷晶振,每年銷量均達十幾億不止,采用日本獨特的生產技術,先進的精密設備,日本進口貼片晶振,石英晶振,有源晶振,TCXO晶振,壓控溫補晶振,具有高精密,低抖動,耐高溫,低損耗,品質高等優勢之選.
愛普生晶振在國內深受工廠企業所喜愛,生產的石英晶體諧振器體積小,且精度穩定. 愛普生晶振所生產的32.768K晶振,MC-146晶振,FC-135晶振可謂是智能產品的靠譜的選擇,占據國內市場進口晶振30%的份額,不管是質量,交貨期,產品類別等都占有優勢.
京瓷貼片晶振,石英晶振,有源晶振,TCXO溫補晶振,VCXO壓控晶振等產品,在價格、質量、服務等所有方面都滲透“客戶至上”的理念,不斷為全球市場奉獻新價值.火運電子生產石英晶振,貼片晶振,有源晶振,霧化片,陶瓷諧振器,聲表面濾波器等.
火運電子 :在晶振行業積累了多年的經驗,具備較強的專業生產和配套供應及應變能力。 目前公司業務范圍遍及國內十多個省市,與國內多家知名企業建立了良好的合作關系。火運電子專業生產:石英晶振,表晶,32.768KHZ,陶瓷晶振, 貼片晶振,有源晶振,VC-TCXO壓控溫補振蕩器,,溫補晶振,壓控振蕩器,石英晶體振蕩器,,陶瓷霧化片,霧化片,等系列產品、陶瓷諧振器,SMD諧振器, 陶瓷濾波器,聲表面諧振器,DIP濾波器,聲表面濾波器,等系列產品.產品廣泛應用于鐘表,通訊設備,電腦,音響,儀器儀表,家用電器,衛星導航系統, 及各種頻率控制設備.本公司和世界多個著名石英晶體元器件廠商有著長期的合作關系:品牌有,進口晶振,愛普生晶振,KDS晶振,精工晶體,京瓷晶振,西鐵城晶體,京瓷晶振,NDK晶振,村田陶瓷諧振器,石英水晶振子,陶瓷振蕩子,等系列產品,公司于2005年在江西省贛州地區自購土地300畝地新建現代化廠房,并成功用于自己的工業園. 更名為HY火運電子有限公司:年產壓電晶體,石英晶振,聲表面濾波器系列產品,本司以質量求生存為宗旨,締造軍工品質,月產產品上億PCS,60%出口。

客戶需求
業務部
生產訂單
包裝出貨
檢驗
咨詢熱線 :0755-29952551立即咨詢
咨詢QQ :969080538聯系QQ




Successful Case

Skyworks推出首款小型基站高效LAA/LTE-U
Skyworks推出的業內首款適用于小型基站的高效LAA/LTE-U解決方案,是其數十年射頻技術與基站通信經驗的集大成之作,聚焦小型基站"高效,集成,小型化,高穩定,全適配"的核心需求,創新性整合了高效功率放大器,先進射頻前端模塊與精準時序控制技術,其中SKY66288-11高效功率放大器作為方案核心組件,憑借卓越的性能表現成為業內標桿.該解決方案全方位超越傳統方案,核心優勢集中體現在五大維度,為小型基站LAA/LTE-U應用提供全鏈路核心支撐,引領行業技術革新.
River高精度計時解決方案破解多傳感器痛點
傳統計時方案多采用普通晶振搭配簡單時序電路,存在頻率精度不足,相位抖動過大,抗干擾能力弱等短板,難以適配傳感器融合及ADAS系統的嚴苛需求,易出現數據同步偏差,時序信號中斷等問題,嚴重制約ADAS系統的性能提升.River基于70余年的石英晶體研發經驗,針對性破解傳感器融合與ADAS系統的計時痛點,整合獨特調諧叉技術,專屬GT切割工藝,汽車級加固封裝等核心技術,打造出專屬高精度計時解決方案,涵蓋高精度調諧叉晶振,溫補晶振(TCXO)等核心產品,實現"高精度,低抖動,強抗擾,長壽命"四大核心突破,完美匹配傳感器融合與ADAS系統的全場景應用需求,成為全球主流ADAS廠商的優選時序解決方案.
Renesas推出28納米RH850/U2C汽車微控制器
瑞薩電子始終以技術創新為核心驅動力,持續投入研發資源,緊跟汽車產業升級趨勢,其旗下RH850系列汽車MCU憑借久經驗證的可靠性,卓越的性能表現,長期為全球知名汽車廠商及Tier1供應商提供核心支撐,廣泛應用于汽車各類核心控制系統.此次推出的28納米RH850/U2C汽車微控制器,是瑞薩電子在汽車MCU領域的又一重磅成果,作為入門級產品,其成功推出進一步擴充了瑞薩廣受歡迎的RH850/U系列產品線,與定位高端的RH850/U2B及中端RH850/U2A產品形成互補,構建起覆蓋低,中,高端的完整產品矩陣,可滿足不同層級汽車電子應用的需求.
瑞薩GaN充電方案高效緊湊賦能多領域升級
瑞薩電子作為全球半導體行業的領軍企業,深耕半導體領域數十年,憑借深厚的技術沉淀,強大的研發實力與完善的產品布局,在電源管理,模擬電路,微控制器等多個領域占據領先地位,始終以技術創新驅動行業升級,為全球各行業客戶提供高效,可靠,具成本效益的半導體解決方案.此次推出的全新GaN充電方案,是瑞薩電子在電源適配器及AC/DC轉換器領域的重要技術突破,依托其自主研發的SuperGaN®耗盡型GaN技術與創新HWLLC轉換器拓撲結構,將超高效,緊湊型電源架構從100W級設計擴展至500W級,有效規避了傳統拓撲結構在體積,發熱和效率方面的局限性,為下一代計算設備,電動工具及電動自行車等產品樹立了功率密度與峰值效率的新標桿.
Suntsu研發采用最先進硅技術新型振蕩器
Suntsu推出的新型振蕩器,核心亮點在于全面采用最先進的硅技術,摒棄了傳統石英振蕩器依賴石英晶體壓電振蕩,MEMS振蕩器存在結構局限的固有缺陷,創新性打造全硅架構核心振蕩單元,從底層技術架構上實現了振蕩器性能的跨越式提升,彰顯了Suntsu在時序元件領域的技術引領地位與持續創新能力.與傳統技術相比,該款新型硅技術振蕩器在核心性能上實現了多維度,全方位的突破,其采用的先進硅基半導體技術,無需依賴石英晶體的壓電振蕩物理原理,而是通過硅基材料的半導體特性實現穩定振蕩,從根源上解決了傳統產品易受溫度變化,機械振動,外部沖擊影響而出現頻率偏移,性能衰減的行業痛點,同時兼顧超低功耗,超高精度與超高可靠性,完美適配當下電子設備向小型化,低功耗,高精度升級的核心需求,填補了高端硅基振蕩器的市場空白,為終端廠商提供了更優質,更適配,更具競爭力的頻率控制解決方案,助力終端廠商突破產品性能瓶頸.
MQF326D瑪居禮Q系列溫補振蕩器的核心力作
Mercury始終以技術創新為核心驅動力,聚焦市場需求痛點,不斷優化產品結構,打造了涵蓋多種類型,多個系列的晶振產品矩陣,其中Q系列快速切換溫度補償振蕩器家族,便是Mercury針對多場景頻率切換需求打造的高端產品系列,專為需要快速實現頻率切換,同時對溫度穩定性與頻率精度有嚴苛要求的設備量身設計,填補了高端快速切換TCXO市場的空白,引領時序器件向"快速響應,精準穩定"的方向升級.Q系列家族憑借統一的核心技術架構,靈活的頻率切換能力與穩定的性能表現,成為Mercury的核心產品系列之一,而MQF326D系列作為該家族的重要成員,在傳承家族核心優勢的基礎上,針對小型化,低功耗,高適配性需求進行了專項優化,進一步豐富了Q系列的產品矩陣,拓展了快速切換TCXO的應用場景,成為Mercury搶占高端時序市場的重要力量.
SiT9346系列晶振賦能航空國防領域精準運行
SiTime聚焦高端時序領域的技術研發與迭代,投入大量研發資源攻克極端環境下的時序穩定性難題,深耕航空國防,工業控制,車載電子等多個核心高端領域,累計為全球各類高端裝備提供精準,穩定的時序支撐,其加固型MEMS振蕩器憑借卓越的抗振動,抗沖擊,寬溫適應能力,贏得了全球航空國防領域客戶的高度贊譽,成為MEMS時序技術在高端嚴苛場景應用的標桿企業.此次專為航空國防領域打造的SiT9346系列晶振,是SiTime在加固型時序器件領域的重磅力作,凝聚了其多年的技術沉淀與場景洞察,精準貼合航空國防裝備對時序器件的嚴苛要求,針對極端環境下的時序穩定性,抗干擾性等核心痛點進行針對性優化,進一步鞏固了SiTime在航空國防時序領域的領先地位,為國防裝備的技術升級注入強勁動力.
MtronPTI全新XO9095系列OCXO上市
在6G預研,衛星通信,雷達測控,電子對抗,高精度測試測量等領域全速升級的當下,傳統低頻時鐘器件早已無法滿足超高頻,低噪聲,高穩定的嚴苛時序需求.行業對高頻時鐘方案的要求,正朝著更高頻率,更低相位噪聲,更強抗振性,更寬溫域穩頻的方向不斷進階,尤其在極端振動,寬溫波動的場景下,頻率穩定性與信號純凈度直接決定裝備性能與數據可靠性.全球頂尖頻率控制方案提供商MtronPTI,深耕晶振領域數十年,聚焦超高頻高端應用痛點,重磅推出XO9095系列高頻OCXO(恒溫晶體振蕩器),以寬頻覆蓋,低相噪,抗振動的硬核實力,填補超高頻高精度時鐘市場空白.
AKER安基SMAN-161系列超微型石英晶體振蕩器
SMAN-161系列采用AKER安基自研的超微型密封封裝設計,尺寸極致緊湊,體積遠小于常規7050,5032,3225等封裝晶振,是專為空間極度受限的微型電子產品打造的專屬時鐘器件.這款晶振可大幅節省PCB板載空間,釋放更多布局位置給核心芯片,電池,傳感器等部件,助力設備實現更輕薄,更小巧的結構設計,無論是寸土寸金的TWS耳機充電倉,超薄智能手環主板,微型無線傳感器,還是便攜式醫療檢測儀,迷你工控模塊,微型藍牙模組,都能輕松嵌入安裝,徹底打破空間限制,讓產品微型化,輕薄化設計不再受限于晶振體積.
安基LP-HCSL石英振蕩器重塑時鐘器件標準
面對傳統HCSL振蕩器功耗居高不下,抖動控制不佳,布線復雜,抗干擾能力弱等行業痛點,以及全球低碳減排,長效續航的產業趨勢,安基推出LP-HCSL石英振蕩器這款高性能時鐘器件.產品深度聚焦高效運算與永續低碳設計兩大核心方向,憑借低功耗,低抖動,寬溫穩頻,極簡布局,高兼容性的硬核優勢,針對性破解行業難題,全面適配高端電子設備的嚴苛工況,成為高速算力,車載工控,通信終端等領域時鐘方案的標桿之選.
Golledge重新審視差分振蕩器的可能性
在高端電子設備向高速化,高精度,高穩定性迭代的今天,時鐘源的精準度直接決定了設備的核心性能上限,而差分振蕩器作為兼具抗干擾性與精準度的核心組件,正成為衛星通信,航空航天,精密儀器,工業自動化等高端領域的首選.長期以來,行業內對差分振蕩器的認知多停留在"抗干擾"的基礎層面,卻忽略了其在精準度上的巨大潛力.作為全球頻率控制領域的標桿品牌,英國Golledge(高利奇)憑借數十年的技術積淀與對品質的極致追求,以毫不妥協的精確度為核心,重新定義差分振蕩器的性能邊界,打破行業認知局限,為各高端領域提供更具可靠性與適配性的時鐘解決方案.

村田車載用2016尺寸晶體諧振器XRCGB系列產品
MuRata村田車載用2016尺寸晶體諧振器XRCGB系列,是專為車載電子場景量身打造的高端晶振產品,憑借自主研發的高精度石英晶體技術,精密封裝工藝與嚴苛的品質管控體系,在小型化,高穩定性,強抗干擾性,低功耗等多個核心維度實現重大突破,徹底解決了傳統車載晶振的行業痛點,其核心技術優勢與產品特點十分突出,能夠全方位滿足車載電子的高端應用需求,彰顯了MuRata村田在車載晶振領域的領軍實力.作為晶振的核心組成部分,石英晶體具有優異的壓電特性,當對石英施加交變電壓時,它會產生穩定的機械振動,1秒內的振動次數即為頻率,頻率的精準度與穩定性直接決定晶振的性能,而XRCGB系列采用的高性能石英晶體材料,經過特殊配方優化與精密加工,進一步提升了壓電特性與頻率穩定性,為產品的精準運行奠定了堅實基礎.
Skyworks攜手中興通訊共筑一體化智能汽車解決方案
Skyworks與中興通訊的合作,是"半導體核心器件+通信技術"的完美融合,雙方依托各自領域的技術優勢,深度協同,優勢互補,聯合打造的一體化智能汽車解決方案,涵蓋車聯網通信,智能駕駛,車載信息娛樂,電池管理等全場景,其中Skyworks的車載級核心元器件作為解決方案的"核心基石",為方案的高效,穩定,可靠運行提供了堅實支撐.
SUNTSU時鐘抖動解析系統計時精度的保障指南
在電子系統日益向高速化,高精度,高可靠性升級的今天,計時精度成為決定系統性能的核心指標之一,而時鐘抖動作為影響計時精度的關鍵因素,直接關系到電子設備的穩定運行,數據傳輸準確性與整體性能上限.無論是消費電子,汽車電子,還是醫療設備,航空航天等高端領域,時鐘抖動的控制水平,都成為衡量系統可靠性的重要標尺.作為全球頻率控制領域的領軍企業,SUNTSU深耕晶振研發與生產數十年,憑借先進的技術積累與嚴苛的品質管控,在時鐘抖動控制方面形成了獨特的技術優勢,為各行業系統提供穩定,精準的計時支撐.
SUNTSU以精準定制筑牢電子器件高可靠性根基
在電子設備向小型化,智能化,極端環境適配加速升級的當下,高可靠性已成為衡量電子器件核心競爭力的關鍵標尺,更是保障各類設備穩定運行,規避安全風險的核心前提.而定制化元件,正是破解通用標準化器件性能瓶頸,精準匹配各行業特殊應用需求的關鍵路徑.作為全球頻率控制領域的領軍企業,SUNTSU深耕行業數十年,憑借深厚的技術研發積累,嚴苛的全流程品質管控體系與靈活高效的定制服務能力,以定制元件為核心載體,為全球各行業客戶量身打造高可靠性電子器件解決方案,全方位賦能企業產品技術升級與市場競爭力提升.
ECS旗下CX-1637QZ緊湊型汽車用晶體振蕩器
CX-1637QZ型緊湊型,堅固耐用的汽車用晶體振蕩器,是ECS深耕汽車電子領域的匠心之作,凝聚了ECS四十余載的技術積淀與對汽車電子行業需求的深刻洞察,憑借緊湊型封裝,超強堅固性,高頻率穩定性,汽車級合規等核心優勢,打破了傳統車載晶體振蕩器"體積大,抗震差,穩定性不足"的行業痛點,成為各類車載電子系統的優選時序器件,助力汽車電子企業打破研發瓶頸,提升產品核心競爭力,推動汽車產業向智能化,電動化,高端化發展.
ECS-327MV系列系列32.768kHz時序領域的多適配標桿
ECS-327MV系列是ECS專為低功耗,多電壓適配場景研發的一款32.768kHz表面貼裝型振蕩器,憑借先進的電路設計,嚴苛的品控標準與靈活的適配能力,成為各類低功耗電子設備的優選時序器件.該產品核心定位為"精準計時,超低功耗,多電壓兼容,小型化集成",搭載32.768kHz標準振蕩頻率,采用表面貼裝(SMD)封裝設計,體積緊湊,集成便捷,同時支持多電壓范圍適配,無需額外配置電壓轉換模塊,大幅降低研發集成難度與電路設計成本.相較于傳統32.768kHz振蕩器,ECS-327MV系列在功耗控制上實現了突破性升級,通過優化內部電路架構,甄選高純度低功耗元器件,大幅降低設備運行及休眠狀態下的能耗損耗,完美適配電池供電類設備的長效續航需求;多電壓適配特性可靈活匹配不同設備的供電規格,無需針對不同電壓需求更換器件,提升研發效率與產品通用性;表面貼裝設計則適配小型化,高密度集成的設備布局,兼顧集成便捷性與運行可靠性,廣泛覆蓋物聯網終端,智能穿戴,工業控制,便攜式醫療等多個領域.
ECS以產品創新破局適配行業變革浪潮
從消費電子的輕量化升級到汽車電子的智能化轉型,從醫療設備的精準化發展到工業自動化的高效化推進,每一次行業變革都伴隨著對核心元器件的性能革新需求.晶振作為電子系統的"心跳中樞",其性能直接決定了設備的運行精度,穩定性與能效水平,成為適配行業變革的關鍵核心.面對行業變革帶來的挑戰與機遇,ECS摒棄傳統固化的產品研發模式,堅持"需求導向,技術引領,場景適配"的創新理念,通過材料創新,工藝創新,產品形態創新與解決方案創新,全方位突破技術瓶頸,推出一系列貼合行業變革需求的創新晶振產品,不僅滿足了各領域的個性化應用需求,更推動了頻率控制領域的技術升級,成為行業變革的重要推動者與參與者.
Transko首發VTXLN系列超低相位噪聲VCTCXO
Transko正式推出全新VTXLN系列超低相位噪聲壓控溫補晶體振蕩器(VCTCXO),作為Transko在高精度時頻領域的又一重磅力作,該系列產品依托Transko自主研發的核心技術,憑借極致的相位噪聲性能,優異的頻率穩定性與靈活的壓控特性,徹底打破傳統VCTCXO在低噪聲場景中的應用局限,精準適配高端通信,精密測試,航空航天輔助,量子通信等對時頻精度要求嚴苛的核心場景,為各行業技術升級注入全新動力,重新定義高端VCTCXO的性能標準,進一步鞏固Transko在全球時頻器件領域的創新領先地位.
QuartzCom全系列振蕩器振蕩器領銜賦能多領域精準同步
QuartzCom規模化生產VC-TCXO及TCXO,OCXO,XO全系列振蕩器產品,不僅是品牌技術積淀的集中體現,更是對行業多元化需求的精準響應.憑借全系列產品布局,卓越的產品性能,嚴苛的品質管控以及全方位的服務支持,QuartzCom不僅解決了下游制造商的核心痛點,更拓展了振蕩器產品的應用邊界,賦能通信,工業,車載,科研等多領域產業升級,推動頻率控制技術向更高精度,更靈活適配,更穩定可靠,更低功耗的方向發展.
瑞薩感應式位置傳感器無磁抗擾為線控系統與電機控制注入高精度核心動力
在汽車電動化,智能化與工業自動化加速發展的今天,線控系統與電機控制的精密化,穩定化需求日益凸顯,位置傳感器作為核心感知器件,其性能升級成為行業發展的關鍵.瑞薩感應式位置傳感器以無磁設計,強抗雜散場干擾,超高精度為核心,完美破解傳統傳感器的行業痛點,為線控系統與電機控制提供了穩定,可靠,精準的感知解決方案,不僅提升了設備的運行效率與安全性,還推動了行業技術的迭代升級.助力汽車,工業,新能源等多個領域實現智能化,高效化升級,以精準傳感技術,賦能萬物互聯的智能未來.
Rubyquartz盧柏晶體應用范圍RH100-25.000-18-T
Rubyquartz為全球客戶提供頻率元件行業中最知名的R&D團隊的技術專業知識。
佛羅里達州邁阿密設計的產品規格符合市場需求。總部。位于佛羅里達州和中國的生產基地使公司能夠滿足客戶優化總采購成本的需求,同時為提供的所有產品系列提供足夠的生產空間。提供的產品質量是所有Rubyquartz員工和公司管理層的主要關注點之一。
Cardinal抖動在高性能設計中的重要性
在全球電子產業向高端化,智能化,高集成化深度迭代的當下,高性能設計已成為企業搶占市場的核心競爭力,從5G-A通信基站,AI數據中心到智能車載,航空航天設備,每一款高端產品的穩定運行,都離不開精準的時序控制與信號同步.而在時序控制體系中,Cardinal抖動(基數抖動)作為最核心的時序誤差來源之一,往往被部分設計者忽視,卻直接決定了產品的性能上限,穩定性與可靠性,成為高性能設計中不可逾越的"隱形門檻".
振蕩器還是石英晶體?如何為您的應用找到合適的組件
在開發電子組件時,其中一個步驟包括選擇合適的頻率控制產品。一開始的基本問題是安裝石英晶體還是振蕩器。為了做出正確的決定,需要考慮幾個參數。這些包括應用、設備或行業的許多不同要求。除了空間要求、頻率穩定性和專業知識之外,開發成本也起著顯著的作用。領先全球希華晶體at切割角度的奇特之處,pcba上的負載晶體頻率具有擴展分布。
由于頻率牽引能力和負載電容之間的關系,負載電容越小,頻率變化越敏感。以下步驟如下所示。
(1)增加負載電容,Cg和Cd,使用CL較大的晶體。
(2)使用更精確的電容Cg和Cd。
(3)使用更精確的晶體。
1.可以使用一般的清潔溶液或超聲波清潔方法來清潔我們的SMD晶振產品。但是,在某些情況下,超聲波清洗機可能會在我們產品的振蕩頻率下產生共振,從而惡化器件的電氣特性,甚至損壞器件的整體結構。因此,建議在清洗前進行驗證試驗。
2.音叉產品在接近超聲波清洗機清洗頻率的頻帶上振蕩,這可能會引起諧振,惡化設備的電氣特性,甚至損壞設備的整體結構。因此,應避免使用超聲波清洗機清洗音叉裝置。如果需要使用這種方法清潔音叉裝置,建議在清潔過程前后檢查裝置的功能。
3.為防止干擾,布局時請避開產品下方的任何電路。
4.當數據表標有“NC”或“請勿連接”時,請不要連接任何電路,以避免功能出錯。
5.避免通過超聲波焊接進行安裝和加工,這種方法有可能使過度振動在晶體產品內部傳播,并成為特性惡化和不振動的原因。領先全球希華晶體at切割角度的奇特之處.
主要信息:
標稱頻率、負載電容、公差(+/-ppm)
次要信息:(取決于Siward或行業標準)
尺寸、ESR(等效串聯電阻)、C0(并聯電容)、工作溫度范圍.
領先同行SIWARD CRYSTAL引領世界的心跳,希華晶片設計開發擁有穩健的晶片設計理論基礎,并且參考設計模擬軟體輔助,經過30多年累積上萬筆設計大數據,提供希華快速反應客戶需求的能力。穩定的頻率輸出并依照客戶特殊調變需求、雜訊控制提供最佳設計以滿足客戶模組需求。
設計基礎理論
依照設計理論可得知隨著目標頻率的變更,石英晶振晶片設計失效值亦隨之改變,若設計值碰觸上圖中的輪廓震蕩線則產品會產生Dip而造成模組失效風險,故需因應調整設計避免發生頻率發生Dip的現象。
晶片開發若透過試錯法將花費大量時間與資源,這樣一來不但無法滿足客戶即時的需求并且也消耗大量內部資源。希華透過軟體模擬設計從模型建立而后執行FEM分析(Finite Element Analysis),來得知特定設計是否存在寄生震蕩或輪廓震蕩,并且可分析出最佳設計區段從而做到有效率的尋找晶片最佳設計。領先同行SIWARD CRYSTAL引領世界的心跳.
遙遙領先Skyworks差分晶振的優勢,Skyworks推出一流的抖動衰減時鐘,以滿足高速通信的計時要求,新的Si536x差分晶振產品系列為400/800G網絡提供超高性能55 fs RMS
慕尼黑-(商業資訊)-Skyworks解決方案公司。(Nasdaq: SWKS)今天推出了最新的抖動衰減器產品組合,用于構成當今互聯網基礎設施主干的高速網絡、通信和數據中心設備。這些新產品旨在滿足為承載5G流量而部署的高速網絡的性能要求,并支持人工智能和邊緣計算等新應用。新的Si536x產品系列補充了Skyworks當前的Si539x抖動衰減時鐘可滿足設計人員和供應商的特定時序需求。
不斷增長的數據帶寬需求推動了互聯網基礎設施和數據中心環境對使用高速56G/112G/224G PAM-4 SerDes和相干光技術的400G/600G/800G+以太網鏈路的需求。Dell'Oro Group預測,這些數據速率目前占整個以太網數據中心的一半,預計到2025年800G將占主導地位。1這些高速系統要求不同頻率、信號格式和電壓電平的多個時鐘具有超低抖動。
為了滿足這一需求,Si536x有源晶體振蕩器產品系列在緊湊型時鐘IC解決方案中提供頻率靈活性和時鐘樹片內集成,最多可提供18路時鐘輸出,抖動小于55 fs RMS,實現最佳收發器性能。抖動裕量的增加還有助于降低產品開發風險,加快網絡設備供應商的上市時間。
“Skyworks的最新產品系列延續了該公司開發創新定時解決方案的悠久歷史,其特色是超低抖動DSPLL架構和MultiSynth任意頻率’時鐘合成,”表示詹姆士·威爾森,副總裁兼計時產品總經理Skyworks。“這些產品針對下一代高速通信設計,允許我們的客戶利用最高性能、最低抖動的時鐘。"
Si535/536 XO采用Skyworks Solutions的先進DSPLL®電路以提供高速差分頻率的超低抖動時鐘。與傳統XO不同,在傳統XO中,每個輸出都需要不同的晶體頻率,Si535/536有源晶振使用一個固定晶體來提供寬范圍的輸出頻率。這種基于IC的方法允許晶體諧振器提供卓越的頻率穩定性和可靠性。此外,DSPLL時鐘合成提供了卓越的電源噪聲抑制,簡化了任務在噪聲環境中生成低抖動時鐘通信系統。基于Si535/536 IC的XO是工廠編程的在裝運時,從而消除了與定制振蕩器。
Fox Quartz Crystal設計與制作,美國FOX公司是一家超級注重于品質的元器件供應商,為了好的品質不惜一切代價在一個小細節上面死磕,只為了讓用戶好的體驗,憑借著精湛的工藝,卓越的性能,過硬的品質使得其在行業之中得到無數的稱贊,隨著不斷增長的需求,福克斯公司意識到新的機會來臨,便利用長期積累的經驗,針對新的需求開發高質量低成本的石英晶振,產品具有輕薄小低功耗低損耗的特點,比較適合用于網絡設備,智能產品,電子數碼等領域.
晶體僅在最終應用中提供頻率選擇元件。有外部并且需要增益級來實現最終所需的時鐘信號。這個晶體頻率范圍通常被認為小于160MHz。這個頻率以上的晶體需要復雜的電路設計,調諧困難,需要專門的高頻晶體。
需要提供CMOS或BJT增益級,有許多可接受的配置。這個該級的輸入和輸出阻抗會影響電路Q。放大器噪聲水平會影響這兩者相位噪聲和抖動。該級如何在有源增益區偏置對振蕩器至關重要啟動。此外,該階段的帶寬會影響啟動特性。如果振蕩器電路為了在泛音上操作晶體,放大器中需要一個頻率選擇裝置電路,以確保電路在所需的晶體泛音處僅具有所需的增益和相移。
振蕩器電路在晶體諧振時產生交流電流。此交流電流或驅動器液位必須低于臨界值,否則晶體可能會損壞。過大的電流會導致晶體運動超過彈性極限而斷裂。XY切割(音叉)32.768KHz手表晶體必須限制在約5µA或更小,否則晶體的尖端將斷裂。
>1MHz的SMD無源晶體通常是AT切割晶體。這些設備可以容忍較寬的驅動器級別范圍在達到毫瓦驅動水平之前,不會發生斷裂。增加的老化可能發生在更高的µW驅動范圍。過度驅動晶體會激發不想要的振動模式。這些可以導致在不同的狹窄溫度范圍內出現嚴重的頻率跳躍。
在大多數情況下,晶體在無功負載下運行。這樣可以調整最終最終應用中的頻率。這通常需要校正頻率變化與水晶的時間。CLOAD值決定了頻率與負載電容的靈敏度。AT切割晶體對于低值可以具有30ppm/pF的靈敏度。使用更高的負載值電容降低了靈敏度,但增加了振蕩啟動的難度。CLOAD溫度特性可以改變振蕩器的頻率對溫度的響應。
晶體的頻率響應由晶體穿過原子的切口決定石英晶體的平面。這導致了穩定且可重復的溫度響應。這個曲線圖顯示了AT切割晶體的不同切割的頻率-溫度響應。每個曲線有2分鐘的弧度不同。
每條曲線是通過石英晶體的原子平面的切割的2分鐘弧的變化。
晶體有許多參數需要指定,以確保接收到符合最終應用程序要求。
•頻率
•校準,設定點為25°C
•CLOAD
•穩定性,頻率與25°C溫度的關系
•工作溫度范圍
•Cl的最大ESR,晶體諧振電阻
•C0范圍,引腳間電容
•LMOTIONAL或CMOTIONAL,設置晶體的拉出能力
•驅動級別
•頻率和電阻的驅動電平依賴性(DLD)
•老化
•絕緣電阻
還有其他規范,如每°C允許的最大頻率變化,或平滑曲線允許的最大響應(擾動控制)。
進貨檢驗或測試需要專用設備:
•晶體阻抗計(CI計)
•具有特殊測試夾具和軟件的網絡分析儀
電路板布局對于實現最佳性能至關重要。以下是一些注意事項:
•導線長度必須盡可能短。
•晶體引線阻抗高,對噪聲非常敏感。
•電容器和晶體封裝的接地節點不得涉及循環噪聲源的電流。
•如果引線上的泄漏路徑低于500K歐姆,這可能會影響振蕩器的啟動并且還將使頻率偏移多達幾個ppm。
Quarztechnik Quartz Crystal詳細說明書,這是一家有著50多年元器件經驗的晶振品牌公司Quarztechnik,一直以來,秉持著創新的設計理念,持續不斷為行業創造巨大的價值,同時,對于產品品質的極致追求,使得其走向非凡的道路,總能以滿足用戶的需求為主,針對新興領域打磨一系列高質量的產品,其中最為主流的石英晶振一直備受市場的歡迎,Quarztechnik利用自身的優勢,做到高品質低損耗低功耗的特點。
我必須承認:當我在近五個月前加入Quarztechnik的營銷團隊時,我對頻率元件一點概念都沒有。我不知道石英是什么,它看起來像什么,也不知道它與振蕩器有什么不同。當然,現在這種情況已經改變了,這要感謝我的技術同事們的耐心和詳細的解釋。
在過去的幾個月里,我對晶體和振蕩器了解得越多,我就越意識到頻率產品在我們的日常生活中無處不在!沒有頻率發生器的典型日常工作?難以想象。讓我給你舉幾個我個人日常生活中的例子。
我的一天從鬧鐘響起開始。這已經是石英最經典的應用領域:發條裝置。20世紀70年代,從機械操作的鐘表到電動石英表的轉變石英產品首次進入大眾市場。
當連接到外部電源時,石英以穩定的頻率振蕩,這決定了鐘表機構的節奏。簡而言之,石英確保手表“知道”一秒持續多長時間。由于產生的頻率總是保持完全相同,石英晶體被認為是時間測量最高精度的保證。
起床后半個小時,我坐在車里去上班。過了一會兒,第一滴雨點落下來了。雨量傳感器開始工作,雨量感應雨刷有規律地工作。根據水量的多少,或快或慢,正如控制電子設備中使用的石英所指示的那樣。但不僅僅是雨量傳感器:轉向指示燈、舒適座椅調節和轉向柱電子設備也依賴石英晶體作為頻率發生器。
大雨使我沮喪,我需要音樂。因為無線電流行音樂太可怕了,我把手機通過藍牙連接到汽車的音響系統,開始播放自己的音樂。為了使手機和汽車之間的交流順利進行,它們必須以完全相同的無線電頻率相互通信。你可能已經懷疑石英是照顧這一點。
瑞斯克石英晶體振蕩器說明書,隨著電子行業的產品越來越多元化,為了更好順應市場的變化,Crystek公司利用自身的優勢,針對目前振動器產品進行深入研究與探索說明,并研發設計出極具有價值的石英晶體振蕩器,并因此吸引了廣泛用戶的關注,產品融合的高質量低抖動低電壓的特點,可以滿足不同應用程序的需求,同時也優化相噪聲,又獲得極好的用戶體驗。
圖1中的皮爾斯門振蕩器得到了大多數設計師的認可,但很少有人了解如何正確指定晶體。拓撲結構中使用的晶體圖1可以是基本的AT-CUT或BT-CUT。BT-CUT晶體質量差與AT-CUT相比,頻率隨溫度的穩定性。此拓撲使用平行晶體而不是串聯晶體。當指定平行晶體時,晶體制造商還將要求您指定負載電容。
要了解負載電容,請考慮串聯LC電路,其中晶體是L,負載電容是C。諧振LC電路的頻率將作為L和C的函數而變化在晶體情況下,L是固定的(溫度不是參數)。瑞斯克石英晶體振蕩器說明書.
晶體數據表上的參數由負載電容是25°C時中心頻率的公差或校準。如果有源晶體振蕩器電路設計不匹配負載電容值,則中心頻率將不在數據表的公差限制。有趣的是并聯晶體要求其電容負載有效串聯其端子。
那么,您的皮爾斯門振蕩器向結晶如圖2所示的一個簡單計算將告訴您。
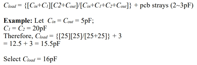
圖2中大多數設計師忽略的最重要的事實是反相器門的內部輸入和輸出電容。這些與外部(C1和C2)相比在值上是顯著的。如果Cin和Cout沒有指定,那么每個5 pF的猜測值是好的開始以后可以通過改變啟動來優化電路C1和C2的值。所以,不要放棄你的主要寬容;計算您的振蕩器電容負載。
既然你知道了如何計算負載電容電路呈現給水晶,您應該選擇什么負載電容?在回答這個問題之前,你需要知道晶體中心頻率對負載的靈敏度電容。這被稱為微調靈敏度S,由下式給出:
其中Cm是晶體的運動電容,
Co是晶體的分流電容,
Cload是負載電容。
從修剪靈敏度方程中,你可以看到,你制作的Cload越小,就越大微調靈敏度。換句話說,如果你正在設計一個固定頻率的時鐘,那么你選擇一個高的Cload值,比如20 pF。但是,如果你正在設計一個可變頻率振蕩器(VCXO)選擇諸如14pF的低Cload值。瑞斯克石英晶體振蕩器說明書.
申請友情鏈接入口>>
頂 部
| 正阳县 | 定边县 | 乌审旗 | 呼图壁县 | 景宁 | 蒲江县 |
| 从江县 | 四川省 | 淳安县 | 雷山县 | 怀安县 | 湘阴县 |
| 鄂州市 | 赞皇县 | 简阳市 | 阿城市 | 开远市 | 柘城县 |